Planning and Reconstruction of Rural Revitalization

Rural development level of villages in Wuhan City’s new urban districts and its hierarchical structure

  • LUO Jing 1, 2 ,
  • JIANG Liang 1, 2 ,
  • LUO Minghai 3 ,
  • TIAN Lingling 1, 2 ,
  • CHEN Guolei 1, 2 ,
  • TIAN Ye 1, 2 ,
  • WU Yikun 1, 2
Expand
  • 1. Key Laboratory for Geographical Process Analysis & Simulation Hubei Province, Central China Normal University, Wuhan 430079, China;
  • 2. Academy of Wuhan Metropolitan Area, Hubei Development and Reform Commission and Central China Normal University, Wuhan 430079, China
  • 3. Wuhan Geomatics Institute, Wuhan 430022, China

Received date: 2019-04-30

  Request revised date: 2019-07-22

  Online published: 2019-09-25

Supported by

National Natural Science Foundation of China(No.41871176)

National Natural Science Foundation of China(No.41801177)

Fundamental Research Funds for the Central Universities of Central China Normal University(No.CCNU18ZDPY09)

The Geographical Situation Monitoring Project of Wuhan in 2018 (the Second Batch)(No.WHJT-CZH-2018-1C066)

Copyright

Copyright reserved © 2019

Abstract

Taking administrative village as the research unit and starting from the five dimensions of rural settlement, land use, population, economy, and human settlement environment, this study firstly constructed an evaluation index system of rural development level. Then using spatial autocorrelation, hotspot analysis, and rank-size rule, we analyzed and evaluated the spatial pattern and scale hierarchy of rural development levels. The results are as follows: 1) The spatial differentiation of rural development level in Wuhan City's new urban districts is obvious, and rural development shows a significant spatial agglomeration characteristic at the administrative village level. The administrative villages with high level of rural development are concentrated in the junction of the southern part of Huanghua District and the eastern part of Dongxihu District, the eastern part of Hannan District, and the northern part of Jiangxia District. The administrative villages with average development level and below are widely distributed. 2) The scale of rural development in the new urban districts is in line with the rank-size rule. The development of high-level administrative villages are insufficient but the medium-low order administrative villages are widely developed, the rural scale spreads over a wide range, and the level of urbanization needs to be improved. 3) The hierarchical system of rural settlements in the new urban districts presents a pyramid structure, which is similar to the central place theory model based on market principle (K=3), and the level of the center is lower. Finally, according to the results of the study, policy recommendations for rural development were put forward.

Cite this article

LUO Jing , JIANG Liang , LUO Minghai , TIAN Lingling , CHEN Guolei , TIAN Ye , WU Yikun . Rural development level of villages in Wuhan City’s new urban districts and its hierarchical structure[J]. PROGRESS IN GEOGRAPHY, 2019 , 38(9) : 1370 -1381 . DOI: 10.18306/dlkxjz.2019.09.010

乡村是指城市以外的空间地域系统,乡村的发展包含政治、经济、文化、环境、社会等多种因素的经济问题(张军, 2018)。一些研究学者认为,在工业化、城镇化和国际竞争力提升的时代,乡村发展具有一定弱质性,乡村发展落后于城市是一个普遍性问题(Center for Regional Development, 2007),因此受到各个国家和地区的重视和支持,如欧盟的“乡村发展政策”、美国的“乡村改进运动”、韩国的“新村运动”、日本的“一村一品运动”、中国台湾的“三生农业政策”等(何仁伟, 2018)。长期以来,中国典型的二元经济结构在发展中要求工业主导农业、城市主导农村的不平衡发展战略,乡村发展建设以被动的形式来满足工业和城市建设(刘彦随, 2018)。随着中国经济社会发展进入新时代,中国社会发展的主要矛盾已经转变为人民日益增长的美好生活需要和不平衡不充分的发展之间的矛盾,其主要表现为城乡差距明显,乡村发展不充分,乡村日渐凋敝,农村空心化、老龄化、留守儿童等乡村衰落现象突出。中共十九大提出实施乡村振兴战略,坚持“农业农村优先发展”,把农业农村的发展摆到国家战略的高度进行决策部署,加快推进农业农村现代化(习近平, 2017)。如何提高乡村地区活力、扭转乡村发展落后的局面成为目前亟需解决的问题。
乡村发展水平是衡量乡村由生产力落后的状态转向高效率现代化状态快慢程度的指标。乡村性是衡量乡村发展状态、揭示乡村内部差异的重要指标,与乡村发展密切相关(Sergei, 2006; Brigitte, 2008)。Cloke(1977)首先提出乡村性指数并划分了英格兰和威尔士的乡村发展类型;部分学者(Halfacree, 1995; Harrington et al, 1998; Woods, 2005; Duenckmann, 2010; Martin, 2014)就乡村性的研究方法、指标选择、权重确定等做了进一步的补充研究,完善了乡村性指标的内涵。国内关于乡村发展研究处于起步阶段,主要研究成果集中在以下方面:一是乡村性概念的界定,完善了乡村性理论框架(张小林, 1998; 李红波等, 2015);二是乡村旅游开发与乡村发展相互关系研究(李德明等, 2005; 冯淑华等, 2007; 吴丽娟等, 2010);三是乡村发展与新农村建设研究(刘彦随, 2007; 甄峰, 2008; 王富喜, 2009);四是乡村聚落空间形态演变特征(朱彬等, 2011; 郭晓东等, 2012; 李小建等, 2015);五是乡村转型发展及其驱动机制研究(龙花楼等, 2011; 王艳飞等, 2016);六是乡村发展类型划分与乡村性评价分析(龙花楼等, 2012; 孟欢欢等, 2013; 孙玉等, 2015);七是乡村空间重构理论探讨(龙花楼等, 2018; 屠爽爽等, 2019)。当前乡村发展的研究内容不断完善,研究方法呈现多样化趋势,理论和实证等相关体系都不断深化。但是,关于乡村发展水平评价的研究较为少见,而且在研究尺度上主要集中在省市县域层面,侧重从区域宏中观视角揭示乡村发展的整体特征,缺少微观视角(村域尺度)下乡村发展水平的量化研究。与此同时,在城乡统筹背景下对乡村聚落规模体系的相关研究仍不够深入,如何建构合理的乡村聚落体系仍是需要重视的一个研究领域。李小建等(2015)认为,村落体系在城镇化进程中逐步与城镇体系融合,可用齐夫指数分析村落的规模分布。城镇化可使一个地区由乡村聚落逐渐转变为城镇聚落,在这样的情况下,用幂律分布刻画这种变化过程有一定道理(李小建等, 2015; 卫春江等, 2017; 罗庆等, 2018)。而且以行政村为单元分析乡村发展水平及聚落体系更具实际意义。
武汉市作为国家中心城市,正处于快速城镇化阶段,中心城区与新城区的联系越来越密切,城乡过渡性、边界不稳定性和动态变化性显著(韩非等, 2011),周边乡村地区不断融入都市区,从而导致乡村发展向城镇化方向演变,并出现新的空间分化,客观上需要对大都市区乡村发展进行深入的研究。而且随着新农村建设、新型城镇化、乡村振兴等一系列重大战略决策的提出和实施,逐步改变着传统的乡村聚落空间格局,形成中心集镇、一般集镇、中心村等规模不一、功能有别的聚落等级体系。因此,本文基于村域尺度,构建乡村发展水平评价指标体系,对武汉市新城区的乡村发展水平进行定量评价,并揭示其空间分布与等级规模,以期为微观尺度下乡村发展评价方法及应用研究提供参考,这对科学指导乡村多元化发展、加强城乡统筹发展具有重要意义。

1 数据与方法

1.1 研究区域与数据来源

武汉地处中国腹地中心、江汉平原东部、长江与汉江交汇处,是中部地区的中心城市、湖北省省会。该地自然条件优越,农业发展历史悠久。本文研究区域为武汉市下辖6个新城区即东西湖区、汉南区、蔡甸区、江夏区、黄陂区和新洲区内共2206个行政村,总面积7614 km2。根据2018年武汉市地理国情普查与监测数据,2017年,新城区常住人口为375.28万人,其中农业人口256.3万人,占总人口的68.3%,农村常住居民可支配收入为18250元,第一产业产值为382.69亿元。武汉正处于城镇化的高级阶段(2017年城镇化率为80%),中心城区(7个)基本实现100%城镇化率,而农村腹地广阔,大都市区特征较为明显。随着武汉城乡要素相互作用的加强,城镇化是影响新城区乡村发展的重要因素,因此选择6个新城区作为典型案例进行研究。
行政村数据来源于2018年武汉市地理国情普查与监测数据、2018年武汉市及新城区统计年鉴、国民经济和社会发展统计公报及2018年9月珞珈一号遥感卫星数据(高分辨率对地观测系统湖北数据与应用网: http://www.hbeos.org.cn/)。

1.2 研究方法

1.2.1 评价指标体系
乡村是由多种要素构成的地域系统,乡村发展水平评价指标应尽可能综合、全面地反映乡村的实际情况。根据国家《乡村振兴战略规划(2018—2022年)》《全国农业现代化规划(2016—2020年)》的标准及现有研究成果(Long et al, 2011; 龙冬平等, 2013; 张挺等, 2018),随着城镇化和工业化的不断推进,城乡要素交互作用加强,乡村地域的聚落空间、人口结构、土地利用、产业经济和人居环境等不断进行演变,特别是乡村地域系统与人口、土地、产业3个核心要素密切相关(李小建等, 2008; 乔家君, 2011; 李裕瑞等, 2012; 李婷婷等, 2015)。遵循科学、准确、客观及可操作性的原则,构建一个包含乡村聚落、乡村土地、乡村人口、乡村经济和乡村人居环境的乡村发展水平评价指标体系(表1)。
表1 乡村发展评价指标

Tab.1 Evaluation index of rural development

准则层 指标层 方向 权重 备注
乡村聚落(0.171) 常住人口(人) 正向 0.310 各行政村常住人口
房屋建筑(区)面积(m2) 正向 0.323 各行政村房屋建筑(区)面积
夜间灯光强度 正向 0.102 基于灰度值计算
行政村距新城区区政府距离(km) 负向 0.173 路网分析(含国道、省道、县道、乡道)
行政村距中心城区市政府距离(km) 负向 0.092 路网分析(含国道、省道、县道、乡道)
乡村土地(0.125) 种植土地面积占比(%) 负向 0.120 种植土地面积/行政村面积
人均耕地面积(m2/人) 正向 0.119 耕地总面积/常住人口
建设用地面积占比(%) 正向 0.108 建设用地面积/行政村面积
耕地转房屋建筑(区)面积占比(%) 正向 0.168 2017年耕地转房屋建筑(区)面积/2016年耕地面积
耕地转林地面积占比(%) 正向 0.140 2017年耕地转林地面积/2016年耕地面积
耕地转水域面积占比(%) 正向 0.177 2017年耕地转水域面积/2016年耕地面积
耕地转园地面积占比(%) 正向 0.168 2017年耕地转园地面积/2016年耕地面积
乡村人口(0.113) 人口密度(人/m2) 正向 0.247 常住人口/行政村面积
人口老龄化率(%) 逆向 0.377 60岁及以上人口/常住人口
少年人口抚养比与老年人口抚养比之和(%) 逆向 0.376 (18岁及以下+60岁及以上人口)/19~59岁人口
乡村经济(0.204) 第一产业企业总数(个) 正向 0.118 行政村内企业总数
第一产业企业总注册资本(亿元) 正向 0.136 行政村内企业总注册资本
第二产业企业总数(个) 正向 0.181 行政村内企业总数
第二产业企业总注册资本(亿元) 正向 0.179 行政村内企业总注册资本
第三产业企业总数(个) 正向 0.154 行政村内企业总数
第三产业企业总注册资本(亿元) 正向 0.232 行政村内企业总注册资本
乡村人居环境(0.387) 林草面积覆盖占比(%) 正向 0.037 林草面积/行政村面积
水域面积占比(%) 正向 0.034 水域面积/行政村面积
道路密度(m/km2 ) 正向 0.056 行政村道路总里程/行政村面积
公交线路覆盖率(从中心城区发车)(%) 正向 0.031 公交站缓冲区(0.5 km)行政村面积/行政村面积
小学覆盖范围(%) 正向 0.045 小学服务范围覆盖面积(1 km)/行政村面积
中学覆盖范围(%) 正向 0.045 中学服务范围覆盖面积(2 km)/行政村面积
距最近三甲医院距离(km) 负向 0.062 路网分析(含国道、省道、县道、乡道)
村镇医院(卫生所)数(个) 正向 0.081
社会福利设施数量(个) 正向 0.091 行政村内养老院、福利院
游憩休闲点个数(个) 正向 0.123 行政村内的公园广场、A级景区、体育设施
文化休闲设施个数(个) 正向 0.163 行政村内图书馆、文化馆
中小学师生比(%) 正向 0.063 行政村中小学老师数/行政村中小学学生数
商业服务设施网点数量(个) 正向 0.077 行政村内超市、便利店、综合市场
人均房屋建筑面积(m2/人) 正向 0.092 房屋建筑总面积(剔除非居住房屋)/常住人口
1.2.2 数据标准化及权重确定
(1) 数据标准化
乡村发展水平评价系统有多个指标组成,含有多种计量单位,指标属性亦有正有负。为了消除原始数据中指标量纲不同而无法进行比较的情况,对数据进行极大值标准化处理。数据标准化处理公式如下:
正指标:
x ij ' = x ij - min ( x ij ) max ( x ij ) - min ( x ij )
逆指标:
x ij ' = max ( x ij ) - x ij max ( x ij ) - min ( x ij )
式中: x ij ' i行政村j项指标标准化后的值,xij为实际值;max(xij)和min(xij)分别为i行政村j项指标的最大值和最小值。
(2) 权重确定
为了排除人为主观因素对权重设置的影响,采用熵值法确定指标权重,计算步骤如下:
首先,计算i行政村j项指标的比重Pij
P ij = x ij ' j = 1 p x ij '
然后,计算第j项指标的熵值:
e j = - k i = 1 m P ij · ln P ij , 其中 , k = 1 ln m
计算指标权重:
w j = 1 - e j j = 1 p ( 1 - e j )
最后计算各行政村发展综合得分:
R D i = j = 1 p w j · x ij '
式中:ejj项指标熵值;wjj项指标权重;m为评价单元总量;p为指标总数;RDi为乡村发展水平,数值越大表明乡村发展越好。
1.2.3 空间自相关
(1) 全局自相关。全局自相关用来描述对象的空间集聚态势,用全局Moran's I指数度量,其计算公式如下:
I = i = 1 n j = 1 n w ij ( R D i - RD ¯ ) ( R D j - RD ¯ ) S 2 i = 1 n j = 1 n w ij
式中:wij为空间权重矩阵; S 2 = 1 n i = 1 n ( RD - RD ¯ ) 2 ;n为行政村个数;RDRD分别为行政村的综合得分和综合得分均值。Moran's I的取值范围为[-1,1]:若Moran's I>0且通过显著性检验,表示新城区乡村发展水平存在正相关;若Moran's I<0且通过显著性检验,表示新城区乡村发展水平存在负相关;若Moran's I=0且通过显著性检验,表示新城区乡村发展空间分布呈现随机状态。
(2)局部自相关。全局自相关研究的是区域内空间对象某一属性的整体分布特征,忽视了区域内部的异质性,因此用局部自相关的方法来分析每个空间单元属性与其邻近空间单元属性的关联程度,用Local Moran's I指数和局部G统计量来衡量。Local Moran's I的计算公式如下:
Local I = ( R D i - RD ¯ ) S 2 j = 1 n w ij ( R D j - RD ¯ )
当Local Moran's I>0且通过显著性检验,表示新城区乡村发展水平高的行政村相互邻近(记为H-H),或者是乡村发展水平低的行政村相互邻近(记为L-L);当Local Moran's I<0且通过显著性检验,表示新城区乡村发展水平高的行政村与水平低的行政村相互邻近(记为H-L),或者是乡村发展水平低的行政村与水平高的行政村相互邻近(记为L-H)。
局部的G统计量可以进一步判断高低值要素的空间聚类,其计算公式如下:
G i * = j = 1 n w ij ( d ) R D j j = 1 n R D j
G i * 进行标准化处理, Z ( G i * ) = [ G i * - E ( G i * ) ] / VAR ( G i * ) ,其中 E ( G i * ) VAR ( G i * ) 代表G*i的数学期望和变异系数,wij(d)代表空间权重。显著的正 Z ( G i * ) 值表示新城区发展水平高的行政村趋于空间集聚,形成热点区域;显著的负 Z ( G i * ) 值表示新城区发展水平低的行政村趋于空间集聚,形成冷点区域。
1.2.4 位序-规模法则
位序-规模法则是从城市的规模和位序排名来反映城市规模等级分布的规律。实际上,无论是城市聚落、农村聚落,还是牧区聚落,都具有等级性,并且在空间上呈现出一定的规律(许学强等, 2006)。以往的研究多从人口数量、用地规模、聚落斑块面积、夜间灯光等单一指标入手分析聚落的规模等级(Jiang et al, 2015; 吕敏娟等, 2016; 万庆等, 2018; 李智等, 2018)。随着城镇化的快速推进,大量乡村人口涌入城市,乡村人口减少,仅仅以乡村人口判别乡村规模不够准确,因此本文尝试以乡村聚落、土地、人口、经济和人居环境的综合得分值来判别乡村规模等级。借鉴Zipf(1949)改进后的位序-规模法则对研究区行政村的规模分布情况进行分析,基本公式如下:
P r = P 1 r - q
式中:r为乡村发展综合得分降序排列的位序;Pr为第r位的乡村聚落规模;P1为乡村聚落体系中首位聚落规模;q为齐夫指数,通过最小二乘法(OLS)进行估计。对公式(10)两边取对数得到:
ln P r = ln P 1 - q ln r
式中:q为常数,是反映城镇规模结构的参数。q=1,即Zipf认为的城镇规模符合自然状态下的最优分布,城镇聚落体系处于均衡发展状态,达到帕累托最优;q>1时,表明研究区聚落规模分布比较集中,首位城市具有较强的垄断地位,中小城市发育不全,大城市的优势突出;q<1时,表示聚落规模分布相对集中,高位次聚落规模不是很突出,中小规模聚落比较发育。

2 新城区乡村发展水平的空间格局

2.1 乡村发展水平的总体空间格局

利用熵值法计算得出2017年武汉市新城区2206个行政村乡村发展水平综合得分,在ArcGIS中按照自然断点法将乡村发展水平分为5类(图1),由图1可知,乡村发展水平最高的为黄陂区南部的刘店村(综合的分值为0.64),最低的为黄陂区的东南部兴中村(综合的分值为0.01),平均值为0.05,乡村发展综合水平值不高;变异系数为1.31,行政村之间发展水平相差较大,存在显著的空间分异。总体上看,乡村发展水平在空间上呈现出由中心向外围依次递减的空间分布态势。
图1 武汉市新城区行政村乡村发展水平空间分布

Fig.1 Spatial distribution of rural development level in administrative villages of Wuhan City's new urban districts

乡村发展水平高和较高的区域有3个(得分值 ≥0.19):一是黄陂区的南部、东西湖区的东部及蔡甸区部分行政村;二是汉南区的东部行政村;三是江夏区的北部行政村。这些行政村与中心城区接壤,区位优势显著,而且自然条件和社会经济基础好,城镇化和工业化快速推进促使乡村土地非农化发展,在中心城区的带动和辐射作用下,资本、技术流入乡村,乡镇企业快速发展,乡村劳动力就业结构和产业结构发生调整,二、三产业从业人员和产值逐步增加,产业的非农化过程加快;土地和产业的非农化加速人口的城镇化,而且城市各项公共服务设施向乡村延伸,改变乡村风貌,改善乡村人居环境,促进了乡村社区的全面发展。例如调研发现,黄陂区的刘店村、东西湖区的革新社区2017年总人口分别为13772人和7822人,距中心城区14.19 km、20.25 km,村内居民大多入住小区,人居环境较好,大部分土地已经流转,建设用地面积占比分别达37%和58%,而且企业数量分别达2068个和759个,有力地推动了乡村的发展。
乡村发展水平一般的区域(得分>0.11但≤0.18)主要沿乡村发展高和较高的区域外围呈现点状分布,还有部分分布在黄陂区和新洲区的城关镇及周边。这些行政村区位交通优势不明显,发展时间较短,经济基础发展一般,区域之间联系不紧密,乡村发展正处于农业向工业化初期推进时期。此外,部分行政村加强乡村管理及中心村建设,完善乡村公共服务基础设施,减少了农村空心化、人口过度向主城集中的现象。例如调研发现,东西湖区大桥大队2017年总人口为2292人,距中心城区46.79 km,建设用地占比为7%,企业数量有62家。当地政府目前在拆迁合并,确保乡村建设与新型城镇化、农业现代化相结合,完善基础设施建设,解决农民急需的现实利益问题。
乡村发展水平较低及以下的行政村广泛分布(得分≤0.11),其内部差异也较小。这些行政村传统农耕面积较大,基础设施不完善,教育、医疗等公共服务普及率低,居住条件与文化生活较差,产业发展程度低,外出务工人数较多,经济发展水平落后。如汉南区的窑头村,2017年总人口仅为774人,外出务工人员占50%,建设用地面积占比只有3%,各项基础设施老旧,乡村企业仅有24家。乡村经济发展活力不足,发展水平低。

2.2 乡村发展水平的空间关联

2.2.1 全局空间自相关分析
为深入阐释武汉新城区乡村发展的空间关联程度,基于2017年新城区各行政村的乡村发展综合得分值,计算其全局Moran's I指数。结果显示Moran's I=0.454,指数大于0且通过显著性检验(P<0.05,Z>1.96)。表明新城区乡村发展具有显著的空间集聚特征,即乡村发展水平高的行政村相互邻近或乡村发展水平低的行政村相互邻近。
2.2.2 局部空间自相关和热点分析
全局Moran's I可以识别新城区乡村发展是否存在空间集聚性,但忽略空间过程的潜在不稳定性问题。为了进一步分析新城区各行政村的局部空间特征,绘制各行政村乡村发展的LISA图(图2a)。由图2a可以看出,H-H型行政村有182个,占所有行政村总数的8.25%,其分布范围与乡村发展水平高的行政村基本吻合(图1);L-L型行政村有278个,占所有行政村总数的12.6%,主要集中在黄陂区中南部、蔡甸区南部和汉南区东部、江夏区的西部,新洲区有零星分布;L-H型行政村有38个,占所有行政村总数的1.72%,主要分布在H-H型行政村周边;H-L型行政村最少,为29个,占所有行政村总数的1.31%,零星分布于除江夏区的其他城区。大部分行政村乡村发展空间相关性不显著,呈现随机分布的态势。
图2 武汉市新城区行政村乡村发展水平LISA图(a)和冷热点图(b)

Fig.2 Local indicators of spatial association (LISA) map (a) and hotspot zones (b) of rural development levelin administrative villages of Wuhan City's new urban districts

用ArcGIS中的热点分析工具(Getis-Ord Gi*)来识别新城区行政村中具有统计显著性的高值(热点)和低值(冷点)空间聚类发生的位置,以95%的置信度为准,并按照自然断点法将行政村乡村发展程度由高到低分为热点区、次热点区、温和区、次冷点区和冷点区(图2b)。总体来看,新城区乡村发展呈现出“中部热、四周冷”的空间分布格局,与行政村乡村发展的LISA图基本一致。靠近中心城区的东西湖区和蔡甸区东部、江夏区的北部行政村是热点区域,这些行政村乡村发展水平接近且较周边行政村高;围绕热点区域周边及汉南区东部形成次热点区域,值得注意的是,在黄陂区城关镇、新洲区城关镇周边及其南部形成3个次热点区域;温和区域主要围绕次热点区分布,并在江夏区中南部形成单独的区域;次冷点区域和冷点区域广泛分布新城区的传统农耕区。

3 新城区乡村发展水平的规模等级 结构

3.1 位序-规模分布

根据式(11)得出新城区2206个行政村的位序-规模分布图(图3图4)。可以看出:① 图3中拟合优度R2=0.9810,拟合程度高,说明行政村乡村发展水平符合位序-规模法则;q值为-0.6113,小于1,新城区乡村发展程度比较分散,高位次行政村规模不很突出,中小行政村比较发育。位序对数0~3区间的行政村发展均位于拟合曲线下,乡村发展综合得分值与理论值具有一定的差距,乡村转型仍未达到理想状态,城镇化进程提升空间较大,城镇化水平还有待提高。位序对数3~8区间的行政村发展水平基本上与拟合线重合,其发展水平与理论值较为符合。② 图4中拟合优度R2=0.5622,拟合程度较低,q值为-0.8242,小于1,实际值小于理论值。而且行政村规模分布存在明显的“摆尾”现象,即所谓的“肥尾特征”,只有部分行政村符合位序-规模法则,尾部行政村规模很小,不符合位序-规模法则,表现出异常值。因此,比起单独使用行政村人口数量,综合乡村聚落、人口、土地、经济和人居环境的指标更能反映出新城区乡村发展的规模分布。
图3 武汉市新城区行政村综合得分位序-规模分布

Fig.3 Rank-size distribution of administrative villages of Wuhan City's new urban districts by composite scores

图4 武汉市新城区行政村常住人口数量位序-规模分布

Fig.4 Rank-size distribution of administrative villages of Wuhan City's new urban districts by number of permanent residents

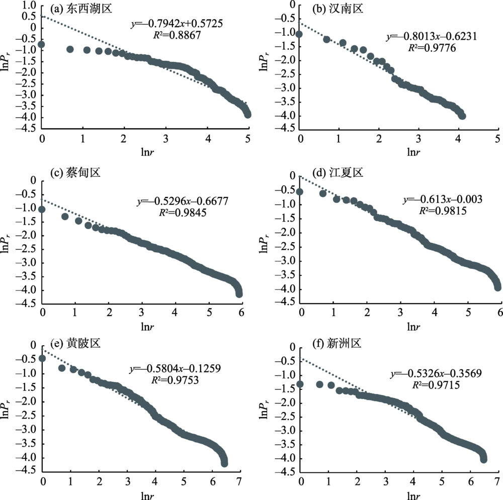
为了进一步分析不同辖区的乡村规模状况,绘制6个新城区行政村位序-规模分布图(图5),可见,6个新城区中除东西湖区的拟合优度R2在0.9以下,其他辖区的拟合优度均在0.97以上,拟合程度较高,说明各新城区乡村发展规模符合位序-规模法则;q值均小于1,行政村发展规模比较分散。具体来看:① 东西湖区、黄陂区、新洲区位序对数在0~2区间的行政村发展位于拟合线以下,位序对数4以后区间的行政村发展规模基本与拟合线重合或在以下,而位序对数在2~4区间的行政村发展处于拟合线以上,位序-规模曲线呈现出显著的上凸特征,即曲线两头低、中间高,说明这3个区高位次和低位次行政村规模发展不足,中等行政村规模发育较快,而且正处于向高位次行政村转化的阶段。② 汉南区和江夏区位序对数在1~2区间的行政村发展基本位于拟合线以上,说明这2个区高位次行政村发展较为理想,正处于快速城镇化的进程;位序对数4以后区间的行政村发展规模基本与拟合线重合,中小行政村发展符合理论值。③ 蔡甸区行政村发展与整个新城区乡村发展位序-规模类似,表现出高位次行政村发展不足,中小行政村普遍发育。
图5 武汉市新城区不同行政区行政村位序-规模分布

Fig.5 Rank-size distribution of administrative villages in different new urban districts of Wuhan City

3.2 等级结构分析

中心地理论由德国地理学家克里斯泰勒1933年提出,是研究和分析聚落空间等级体系的经典理论。该理论推导出3种理想地表上的聚落空间分布模式:第1种是市场原则下的理论模型,每个较大中心地的市场区包含3个比它低一级的中心地市场区域,由此形成K=3的系统,各等级中心地的数量关系为1-2-6-18-54- ……;第2种是交通原则下的理论模型,每个较大中心地的市场区包含4个比它低一级的中心地市场区,由此形成K=4的系统,各等级中心地的数量关系为1-3-12-48-192- ……;第3种是行政原则下的理论模型,每7个低级中心地有1个高级中心地,任何等级的中心地数目为较高等级的7倍(最高等级除外),由此形成K=7的系统,各等级中心地的数量关系为1-6-42-294-2058- ……;(李小建, 2006)。3种原则下的聚落等级都表现出“顶尖底宽”的金字塔结构。
依据图1的划分方式,统计5类乡村的个数,并绘制乡村规模等级金字塔结构(图6)。其中乡村发展水平高、较高、一般、较低和低的行政村分别为23、67、129、355和1632个,依次增长,顶尖底宽,分别占所有行政村的1.04%、3.04%、5.85%、16.09%和73.98%。不同发展水平行政村数量与按市场原则下(K=3)形成的中心地理论模型较为接近。市场原则是保证各级中心地对其所影响的范围提供最大方便的服务,适用于低级中心地的布局。本文研究区域为行政村,乡村发展水平均值仅为0.05,农业人口较多,而现实中村民的需求量少,行政村的服务范围小,门槛人口低,一般是镇或街道办的服务范围覆盖行政村,从而使行政村形成低级中心地。而且位序规模分析得出高位次的行政村数量少,与理论值有偏差,中小行政村广泛发育,与金字塔顶尖底宽的结构相对应。
图6 武汉市新城区乡村发展规模等级金字塔

Fig.6 Pyramid structure of rural development levels of administrative villages of Wuhan City's new urban districts

分区来看,各区的乡村等级规模分布也呈现出自上而下扩张型的金字塔等级结构(表2)。但是存在差异,其中东西湖区发展水平高的行政村较多,即高级中心地数量较多,金字塔顶不尖,等级层次不够清晰,汉南区和江夏区次之;而蔡甸区、黄陂区和新洲区的乡村发展等级层次较为显著,而且乡村发水平低的行政村所占比例很大,这与前面乡村发展水平的空间格局较为吻合。
表2 武汉市新城区不同乡村发展水平个数
乡村发展水平 东西湖区 汉南区 蔡甸区 江夏区 黄陂区 新洲区 总数
7 2 1 8 4 1 23
较高 21 4 4 13 16 9 67
一般 23 5 17 21 24 39 129
较低 36 9 70 85 67 88 355
60 42 277 240 508 505 1632

4 结论与讨论

4.1 结论

基于构建的乡村发展水平评价体系,从村域尺度对武汉市新城区乡村发展水平空间格局及规模等级进行分析和评价,得出以下结论:①武汉市新城区乡村发展水平空间分异明显,发展水平高的地区主要分布在黄陂区南部和东西湖区东部交界处、汉南区东部和江夏区北部行政村,发展水平一般及以下的行政村广泛分布;新城区乡村发展水平存在显著的空间集聚特征,热点区域与发展水平高的行政村分布格局基本一致,冷点区域广泛分布。②新城区乡村聚落规模符合位序-规模法则,高位次行政村聚落规模不很突出,城镇化发展水平不足,中小行政村比较发育;乡村规模等级呈现自上而下扩张型金字塔结构,并且与市场原则下的中心地理论模型较为接近,乡村发展水平不高,中心地等级低。

4.2 建议与讨论

研究区域处于大都市边缘,正处于快速城镇化进程中,基于乡村发展水平评价及聚落规模等级结构分析所得到的结论,本文提出以下建议:第一,推动城乡要素流动,强化聚落间社会经济联系,加强村庄整治。武汉新城区乡村发展差异明显,不仅仅是聚落发展、规模分布的差异,更重要的是劳动就业、公共服务、社会治理等方面的差异。乡村发展水平高的行政村与中心城区接壤,区位条件优越,通过推动城乡管理体制的并轨、城乡综合配套的改革和行政等级体制的调整,强化城乡聚落间社会经济联系,促进资源要素的有效配置,进而推动城乡融合发展。乡村发展水平一般及以下的行政村,应充分考虑地理区位、资源禀赋、产业基础等因素,因地制宜地做好乡村聚落规划,加强中心村建设,整治基层村,合并落后村,同时进行“空心村”的治理。加强村庄建设整治管理,完善基础设施和社会保障制度。第二,发挥乡村聚落引领作用,优化聚落规模体系。新城区乡村聚落位序-规模分布的齐夫指数较高,但整体上乡村发展程度比较分散,高位次行政村规模不很突出,城镇化水平有待提高。在未来的城镇化进程中应强化聚落中心地综合职能,以中心城市发展带动周边小城镇和乡村聚落发展,调整优化聚落规模等级结构,促进乡村聚落规模的合理有序发展。第三,对农村聚落进行系统类别划分。大都市区快速城镇化和工业化发展的影响和带动下,农村聚落向高层级演变是必然趋势,在这种演变下,农村聚落的文化、生态、传统聚落形态等势必将与经济发展产生矛盾和冲突,因此需要针对不同类别的农村聚落制定差异化的发展策略,一方面使其适应城镇化发展的趋势,另一方面保护其原有的生态环境和文化特色,促进乡村的可持续发展。
本文构建了乡村发展水平评价方法,探讨了大都市区周边乡村发展水平及规模等级体系,丰富了乡村聚落体系研究,可为武汉市的乡村规划及类型划分提供理论指导,对于优化中国城乡聚落发展格局、完善城乡发展规划、促进城乡融合发展以及实施乡村振兴战略等具有一定的参考价值。需要指出的是,本文将社区和行政村视为同类单元,并未细化两者的内部差异;数据时段仅为1 a,对于乡村发展水平多年的时空演变及驱动机制需要进一步探讨。
[1]
冯淑华, 沙润 . 2007. 乡村旅游的乡村性测评模型: 以江西婺源为例[J]. 地理研究, 26(3):616-624.

[ Feng S H, Sha R . 2007. Evaluation model of countryside tourism's rural feature: A case study of Wuyuan in Jiangxi Province. Geographical Research, 26(3):616-624. ]

[2]
郭晓东, 马利邦, 张启媛 . 2012. 基于GIS的秦安县乡村聚落空间演变特征及其驱动机制研究[J]. 经济地理, 32(7):56-62.

[ Guo X D, Ma L B, Zhang Q Y . 2012. A GIS-based research on the spatial evolution characteristics and driving mechanism of the rural settlements in Qin'an County. Economic Geography, 32(7):56-62. ]

[3]
韩非, 蔡建明 . 2011. 我国半城市化地区乡村聚落的形态演变与重建[J]. 地理研究, 30(7):1271-1284.

[ Han F, Cai J M . 2011. The evolution and reconstruction of peri-urban rural habitat in China. Geographical Research, 30(7):1271-1284. ]

[4]
何仁伟 . 2018. 城乡融合与乡村振兴: 理论探讨、机理阐释与实现路径[J]. 地理研究, 37(11):2127-2140.

[ He R W . 2018. Urban-rural integration and rural revitalization: Theory, mechanism and implementation. Geographical Research, 37(11):2127-2140. ]

[5]
李德明, 程久苗 . 2005. 乡村旅游与农村经济互动持续发展模式与对策探析[J]. 人文地理, 20(3):84-87.

[ Li D M, Cheng J M . 2005. An investigation into the patterns and strategies of mutual sustainable development of rural tourism and economy. Human Geography, 20(3):84-87. ]

[6]
李红波, 张小林 . 2015. 乡村性研究综述与展望[J]. 人文地理, 30(1):16-20, 142.

[ Li H B, Zhang X L . 2015. A review and trend on rurality. Human Geography, 30(1):16-20, 142. ]

[7]
李婷婷, 龙花楼 . 2015. 基于“人口-土地-产业”视角的乡村转型发展研究: 以山东省为例[J]. 经济地理, 35(10):149-155.

[ Li T T, Long H L . 2015. Analysis of rural transformation development from the viewpoint of "population-land-industry": The case of Shandong Province. Economic Geography, 35(10):149-155. ]

[8]
李小建, 李国平, 曾刚 , 等. 2006. 经济地理学 [M]. 北京: 高等教育出版社.

[ Li X J, Li G P, Zeng G , et al. 2006. Economic Geography. Beijing, China: Higher Education Press. ]

[9]
李小建, 周雄飞, 郑纯辉 . 2008. 河南农区经济发展差异地理影响的小尺度分析[J]. 地理学报, 63(2):147-155.

[ Li X J, Zhou X F, Zheng C H . 2008. Geography and economic development in rural China: A township level study in Henan Province, China. Acta Geographica Sinica, 63(2):147-155. ]

[10]
李小建, 许家伟, 海贝贝 . 2015. 县域聚落分布格局演变分析: 基于1929—2013年河南巩义的实证研究[J]. 地理学报, 70(12):1870-1883.

[ Li X J, Xu J W, Hai B B . 2015. The changing distribution patterns of rural settlements during the process of urbanization: The case of Gongyi (1929-2013), China. Acta Geographica Sinica, 70(12):1870-1883. ]

[11]
李裕瑞, 刘彦随, 龙花楼 . 2012. 黄淮海典型地区村域转型发展的特征与机理[J]. 地理学报, 67(6):771-782.

[ Li Y R, Liu Y S, Long H L . 2012. Characteristics and mechanism of village transformation development in typical regions of Huang-Huai-Hai Plain. Acta Geographica Sinica, 67(6):771-782. ]

[12]
李智, 张小林, 李红波 , 等. 2018. 江苏典型县域城乡聚落规模体系的演化路径及驱动机制[J]. 地理学报, 73(12):2392-2408.

[ Li Z, Zhang X L, Li H B , et al. 2018. Evolution paths and the driving mechanism of the urban-rural scale system at the county level: Taking three counties of Jiangsu province as an example. Acta Geographica Sinica, 73(12):2392-2408. ]

[13]
刘彦随 . 2007. 中国东部沿海地区乡村转型发展与新农村建设[J]. 地理学报, 62(6):563-570.

[ Liu Y S . 2007. Rural transformation development and new countryside construction in eastern coastal area of China. Acta Geographica Sinica, 62(6):563-570. ]

[14]
刘彦随 . 2018. 中国新时代城乡融合与乡村振兴[J]. 地理学报, 73(4):637-650.

[ Liu Y S . 2018. Research on the urban-rural integration and rural revitalization in the new era in China. Acta Geographica Sinica, 73(4):637-650. ]

[15]
龙冬平, 李同昇, 于正松 , 等. 2013. 基于微观视角的乡村发展水平评价及机理分析: 以城乡统筹示范区陕西省高陵县为例[J]. 经济地理, 33(11):115-121.

[ Long D P, Li T S, Yu Z S , et al. 2013. Assessment of rural development level and mechanism analysis based on micro perspective: A case study of the demonstration area of urban-rural intergration in Gaoling County of Shaanxi Province. Economic Geography, 33(11):115-121. ]

[16]
龙花楼, 李婷婷, 邹健 . 2011. 我国乡村转型发展动力机制与优化对策的典型分析[J]. 经济地理, 31(12):2080-2085.

[ Long H L, Li T T, Zou J . 2011. Analysis of dynamical mechanism of rural transformation development in typical regions of China. Economic Geography, 31(12):2080-2085. ]

[17]
龙花楼, 邹健, 李婷婷 , 等. 2012. 乡村转型发展特征评价及地域类型划分: 以“苏南-陕北”样带为例[J]. 地理研究, 31(3):495-506.

[ Long H L, Zou J, Li T T , et al. 2012. Study on the characteristics and territorial types of rural transformation development: The case of "southern Jiangsu-northern Shanxi" transect. Geographical Research, 31(3):495-506. ]

[18]
龙花楼, 屠爽爽 . 2018. 乡村重构的理论认知[J]. 地理科学进展, 37(5):581-590.

[ Long H L, Tu S S . 2018. Theoretical thinking of rural restructuring. Progress in Geography, 37(5):581-590. ]

[19]
罗庆, 杨慧敏, 李小建 . 2018. 快速城镇化下欠发达平原农区的聚落规模变化[J]. 经济地理, 38(10):170-179.

[ Luo Q, Yang M H, Li X J . 2018. Change of settlement size in the less development agricultural plain area under the background of rapid urbanization. Economic Geography, 38(10):170-179. ]

[20]
吕敏娟, 郭文炯 . 2016. 资源型区域乡村聚落规模结构及空间分异动态[J]. 经济地理, 36(12):126-134.

[ Lv M J, Guo W J . The dynamic hierarchy and spatial differentiation of rural settlements in resource-based region. Economic Geography, 36(12):126-134. ]

[21]
孟欢欢, 李同昇, 于正松 , 等. 2013. 安徽省乡村发展类型及乡村性空间分异研究[J]. 经济地理, 33(4):144-148, 185.

[ Meng H H, Li T S, Yu Z S , et al. 2013. Rurality and a correlation analysis of the county economy in Anhui Province. Economic Geography, 33(4):144-148, 185. ]

[22]
乔家君 . 2011. 中国乡村社区空间论 [M]. 北京: 科学出版社.

[ Qiao J J. 2011. Spatial theory of rural community in China. Beijing, China: Science Press. ]

[23]
孙玉, 程叶青, 张平宇 . 2015. 东北地区乡村性评价及时空分异[J]. 地理研究, 34(10):1864-1874.

[ Sun Y, Cheng Y Q, Zhang P Y . 2015. Spatio-temporal dynamics of rurality in northeast China. Geographical Research, 34(10):1864-1874. ]

[24]
屠爽爽, 龙花楼, 张英男 , 等. 2019. 典型村域乡村重构的过程及其驱动因素[J]. 地理学报, 74(2):323-339.

[ Tu S S, Long H L, Zhang Y N , et al. 2019. Process and driving factors of rural restructuring in typical villages. Acta Geographica Sinica, 74(2):323-339. ]

[25]
万庆, 吴传清, 罗翔 , 等. 2018. 中国城市规模分布时空演化特征: 基于“五普”和“六普”人口统计数据的实证研究[J]. 经济地理, 38(4):81-90.

[ Wan Q, Wu C Q, Luo X , et al. 2018. Spatial and temporal evolution characteristics of China's city size distribution. Economic Geography, 38(4):81-90. ]

[26]
王富喜 . 2009. 山东省新农村建设与农村发展水平评价[J]. 经济地理, 29(10):1710-1715.

[ Wang F X . 2009. Evaluation of the constructions and development level of the new countryside in Shandong Province. Economic Geography, 29(10):1710-1715. ]

[27]
王艳飞, 刘彦随, 李玉恒 . 2016. 乡村转型发展格局与驱动机制的区域性分析[J]. 经济地理, 36(5):135-142.

[ Wang Y F, Liu Y S, Li Y H . 2016. The spatial disparity of rural transition development and regional characteristics of its driving forces. Economic Geography, 36(5):135-142. ]

[28]
卫春江, 朱纪广, 李小建 , 等. 2017. 传统农区村落位序-规模法则的实证研究: 以周口市为例[J]. 经济地理, 37(3):158-165.

[ Wei C J, Zhu J G, Li X J , et al. 2017. A rethink of the rank-size rule for rural settlement in traditional agricultural areas: A case study of Zhoukou City. Economic Geography, 37(3):158-165.]

[29]
吴丽娟, 李洪波 . 2010. 乡村旅游目的地乡村性非使用价值评估: 以福建永春北溪村为例[J]. 地理科学进展, 29(12):1606-1612.

DOI

[ Wu L J, Li H B . 2010. Evaluation of the non-use value of the rurality of rural tourism destinations: A case study of Beixi village in Yongchun, Fujian Province. Progress in Geography, 29(12):1606-1612. ]

[30]
习近平 . 2017. 决胜全面建成小康社会, 夺取新时代中国特色社会主义伟大胜利: 在中国共产党第十九次全国代表大会上的报告 [M]. 北京: 人民出版社.

[ Xi J P. 2017. Winning a comprehensively completed well-off society and seizing the great victory of socialism with Chinese characteristics in the new era: Report at the 19th National Congress of the Communist Party of China. Beijing, China: People's Publishing House. ]

[31]
许学强, 周一星, 宁越敏 . 2009. 城市地理学 [M]. 北京: 高等教育出版社.

[ Xu X Q, Zhou Y X, Ning Y M. 2009. Urban geography. Beijing,China: Higher Education Press. ]

[32]
张军 . 2018. 乡村价值定位与乡村振兴[J]. 中国农村经济, 34(1):2-10.

[ Zhang J . 2018. Village value orientation and rural revitalization. Chinese Rural Economy, 34(1):2-10. ]

[33]
张挺, 李闽榕, 徐艳梅 . 2018. 乡村振兴评价指标体系构建与实证研究[J]. 管理世界, 34(8):99-105.

[ Zhang T, Li M R, Xu Y M . 2018. Construction and empirical research on evaluation index system of rural revitalization. Management World, 34(8):99-105. ]

[34]
张小林 . 1998. 乡村概念辨析[J]. 地理学报, 53(4):365-371.

[ Zhang X L . 1998. On discrimination of rural definitions. Acta Geographica Sinica, 53(4):365-371. ]

[35]
甄峰, 赵勇, 郑俊 , 等. 2008. 新农村建设与乡村发展研究: 唐山、秦皇岛乡村个案分析[J]. 地理科学, 28(4):464-470.

[ Zhen F, Zhao Y, Zheng J . et al. 2008. New rural construction and rural development: Case study of villages in Tangshan and Qinhuangdao. Scientia Geographica Sinica, 28(4):464-470. ]

[36]
朱彬, 马晓冬 . 2011. 苏北地区乡村聚落的格局特征与类型划分[J]. 人文地理, 26(4):66-72.

[ Zhu B, Ma X D . 2011. A research on pattern characteristics and type classification of rural settlement in northern Jiangsu Province. Human Geography, 26(4):66-72. ]

[37]
Brigitte W . 2008. Measuring rurality[J]. In Context, 8(1):5-7.

[38]
Center for Regional Development (CRD). 2007. Unlocking rural competitiveness: The role of regional clusters [R]. West Lafayette, USA: Purdue University.

[39]
Cloke P . 1977. An index of rurality for England and Wales[J]. Regional Studies, 11(1):31-46.

[40]
Duenckmann F . 2010. The village in the mind: Applying Q-methodology to re-constructing constructions of rurality[J]. Journal of Rural Studies, 26(3):284-295.

[41]
Jiang B, Yin J J, Liu Q L . 2015. Zipf's law for all the natural cities around the world[J]. International Journal of Geographical Information Science, 29(3):498-522.

[42]
Halfacree K . 1995. Talking about rurality: Social representations of the rural as expressed by residents of six English parishes[J]. Journal of Rural Studies, 11(1):1-20.

[43]
Harrington V, Donoghue D . 1998. Rurality in England and Wales 1991: A replication and extension of the 1981 rurality index[J]. Sociologia Ruralis, 38(2):178-203.

[44]
Long H L, Zou J, Pykett J , et al. 2011. Analysis of rural transformation development in China since the turn of the new millennium[J]. Applied Geography, 31(3):1094-1105.

[45]
Martin P . 2014. Baroque rurality in an English village[J]. Journal of Rural Studies, 33(1):56-70.

[46]
Sergei S . 2006. The changing nature of rurality and rural studies in Russia[J]. Journal of Rural Studies, 22(4):422-440.

[47]
Woods M . 2005. Rural geography: Processes, responses and experiences in rural restructuring[M]. London, UK: Sage.

[48]
Zipf G K. 1949. Human behavior and the principle of least effort [M]. Boston, USA: Addison-Wesley Press.

Outlines

/