中国城乡融合时空演化及驱动因素 |
| 罗婉璐, 王武林, 林珍, 周伟健 |
|
Spatiotemporal evolution and driving factors of urban-rural integration in China |
| LUO Wanlu, WANG Wulin, LIN Zhen, ZHOU Weijian |
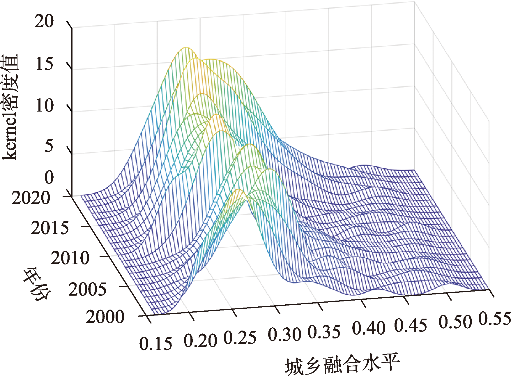
| 图5 中国城乡融合水平分布动态 |
| Fig.5 Distribution dynamic of the URI level in China |
|